+91-8923241049
sunrisepersonalsolutions@gmail.com
Hapur Uttar Pradesh
  • Home
  • About
  • Services
  • Clients
  • Testimonial
  • Training
  • Contact
  • Documents

Legal Documents

Statutory & compliance documents of Sunrise Personnel Solution Pvt. Ltd.

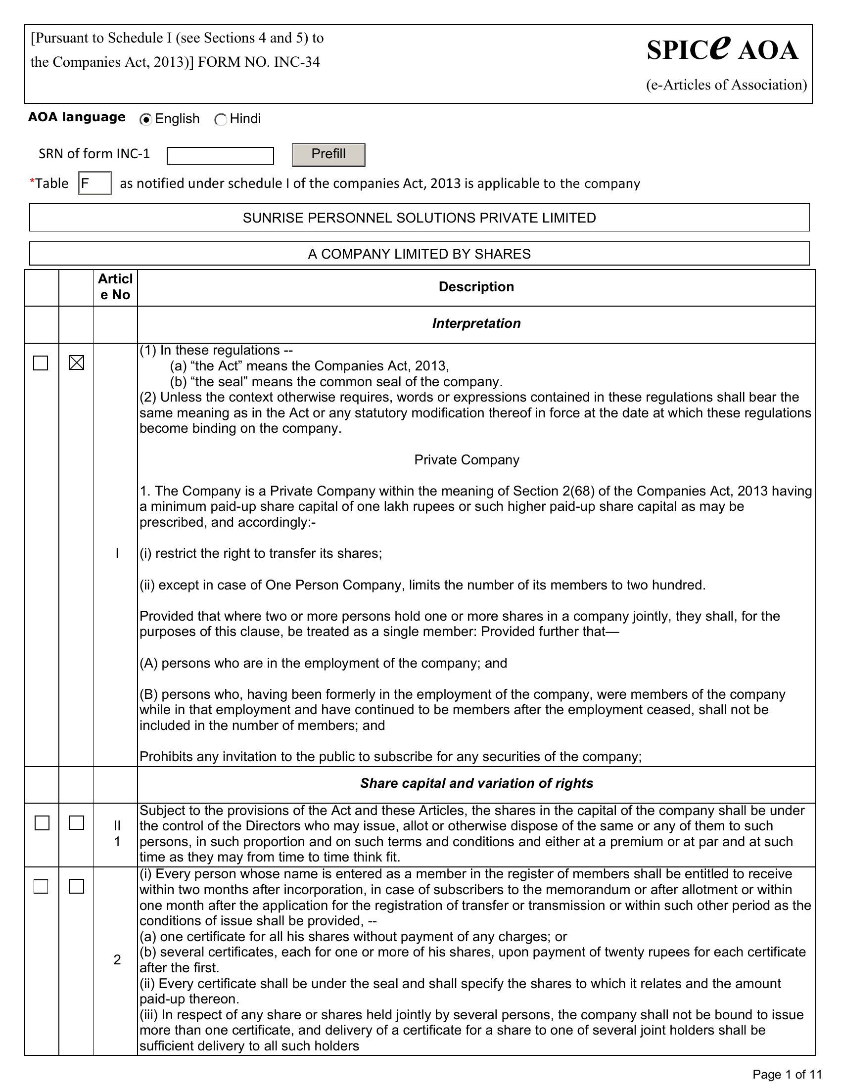
Articles of Association (AOA)
Certificate of Incorporation
ESI Certificate
Labour License 1
MOA
Pasara Certificate
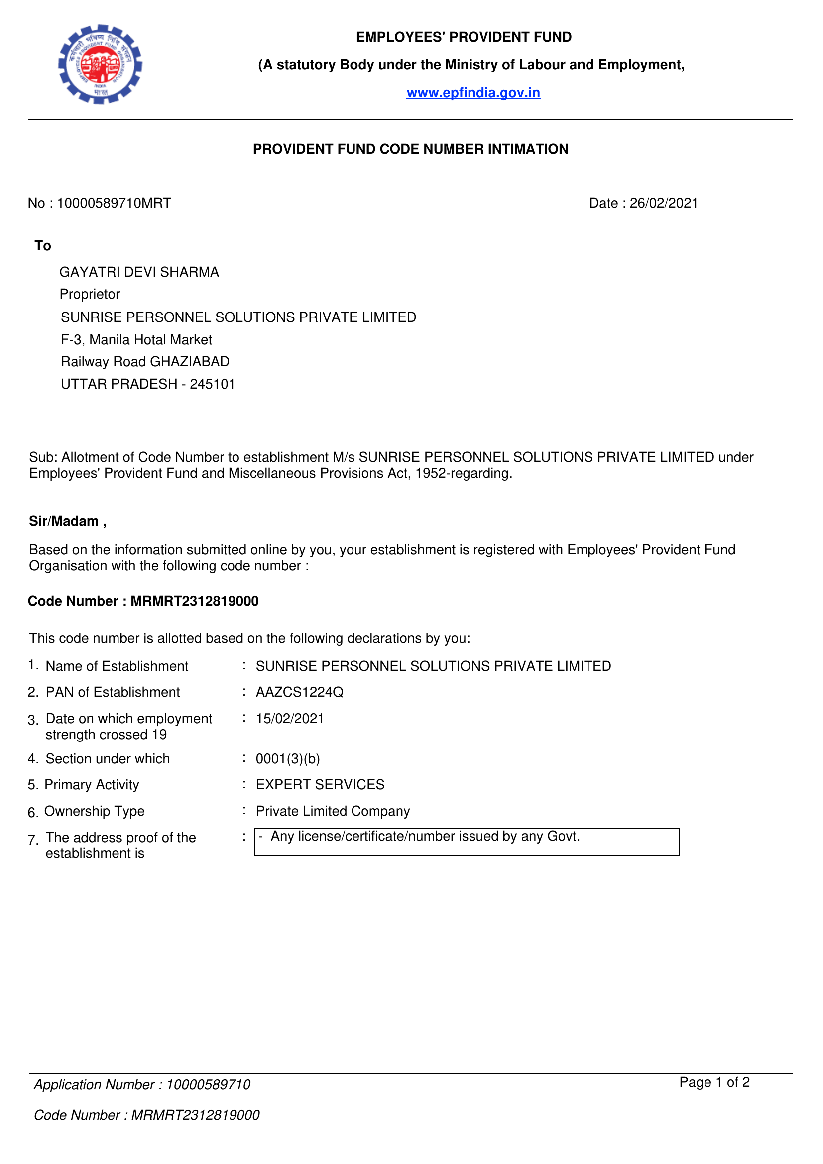
PF Certificate
GST Certificate
Sunrise PAN
MSME Certificate

  • Call +91-8923241049

  • sunrisepersonalsolutions@gmail.com